Giá trị nguyên là thuật ngữ được nhắc nhiều trong bài toán tìm biến để biểu thức nhận giá trị nguyên. Vậy, giá trị nguyên là gì? Cách làm bài toán này thế nào? Mời bạn đọc cùng supperclean.vn ôn luyện qua bài viết dưới đây nhé!
Contents
Giá trị nguyên là gì?
Giá trị nguyên là những giá trị thuộc tập hợp số nguyên. Thực chất, giá trị nguyên chính là số nguyên, bao gồm số nguyên âm, số 0 và số nguyên dương.
Vậy số nguyên ký hiệu là gì? Tập hợp số nguyên được ký hiệu là Z, là một tập hợp vô hạn.

Phân loại giá trị nguyên
Giá trị nguyên được chia thành 2 loại, đó là: giá trị nguyên dương và giá trị nguyên âm.
Giá trị nguyên dương là gì?
Giá trị nguyên dương hay số nguyên dương là những số nguyên lớn hơn 0, thường được ký hiệu là Z+.
Giá trị nguyên âm là gì?
Giá trị nguyên âm hay số nguyên âm là tập hợp các số đối của số nguyên dương. Hay theo cách khác, đó là các số nguyên có giá trị nhỏ hơn 0, được ký hiệu Z-.
Để hiểu rõ giá trị nguyên là những số nào, các bạn có thể tham khảo ví dụ dưới đây:
- Các giá trị nguyên dương: 1, 2, 3, 4, 5, 6, 7, 8, 9, 10,….
- Các giá trị nguyên âm: -1, -2, -4, -5, -9, – 10,….
Các trường hợp như 1/2, 3.5, 7/8, -5/6,… không phải là số nguyên hay giá trị nguyên.
Giá trị nguyên có lấy số 0 không?
Giá trị nguyên có lấy số 0, vì số 0 cũng thuộc tập hợp số nguyên Z. Tuy nhiên, số 0 là một trường hợp đặc biệt, nó không phải là số nguyên âm cũng không phải là số nguyên dương.

Cách giải bài tập tìm biến để biểu thức nhận giá trị nguyên là gì?
Phương pháp giải chung
Đề bài: Hãy tìm giá trị của x để biểu thức A = f(x)/g(x) nhận giá trị nguyên
Bước 1: Tìm điều kiện xác định (ĐKXĐ) của biểu thức A.
Bước 2: Rút gọn và đưa biểu thức A về dạng A = m(x) + k/g(x).
Trong đó, k có giá trị là một số nguyên và m(x) là biểu thức nguyên khi x nguyên.
– Cách làm số 1:
- Bước 3: Để A nhận giá trị nguyên thì k/g(x) phải nguyên. Hay nói cách khác, g(x) phải thuộc tập hợp các ước của k.
- Bước 4: Lập bảng để xác định các giá trị của x.
- Bước 5; Đối chiếu với điều kiện tương ứng của đề bài, loại bỏ những giá trị không phù hợp và đưa ra kết luận.
– Cách làm số 2:
- Bước 3: Áp dụng điều kiện và các bất đẳng thức đã học để chứng minh m < A < M. Trong đó, m và M là số nguyên.
- Bước 4: Tìm các giá trị nguyên trong khoảng từ m đến M. Tương ứng với các giá trị nguyên tìm được, hãy xác định giá trị của biến x.
- Bước 5: Kết hợp với điều kiện của đề bài, hãy loại bỏ các giá trị không phù hợp và đưa ra kết luận cuối cùng.

Ví dụ minh họa
Đề bài: Hãy tìm giá trị nguyên của x để biểu thức dưới đây cũng có giá trị nguyên:
B = (x – 2)/ (x – 1)
Lời giải:
ĐKXĐ: x # 1
Ta có:
B = (x-2)/(x-1)=(x-1-1)/(x-1)=1-(1/(x-a))
Để B nhận giá trị nguyên thì (x – 1) U(1) = {1; -1}
Ta có bảng sau:
| x – 1 | 1 | – 1 |
| x | 2 (thỏa mãn điều kiện) | 0 (thỏa mãn điều kiện) |
Vậy với x ∈ {0; 2} thì biểu thức B nhận giá trị nguyên.
Bài luyện tập
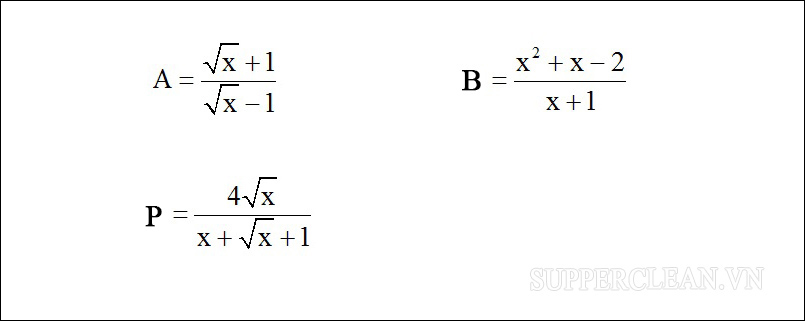
Ví dụ: Hãy tìm giá trị của x để các biểu thức dưới đây nhận giá trị nguyên.

Lời giải:
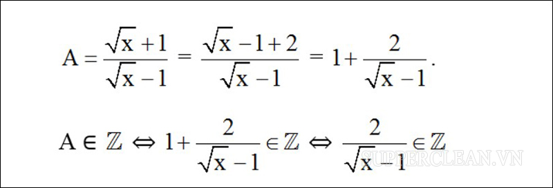
- Biểu thức A
Đkxđ: x ≥ 0, x # 1
Ta có:

Để A nhận giá trị dương thì √x – 1 ∈ U(2) = {-2; -1; 1; 2}
Ta có bảng sau:
| √x – 1 | -2 | -1 | 1 | 2 |
| √x | -1 (loại) | 0 | 2 | 3 |
| x | – | 0 (thỏa mãn) | 4 (thỏa mãn) | 9 (thỏa mãn) |
Vậy để biểu thức A nhận giá trị dương thì x ∈ {0; 4; 9}.
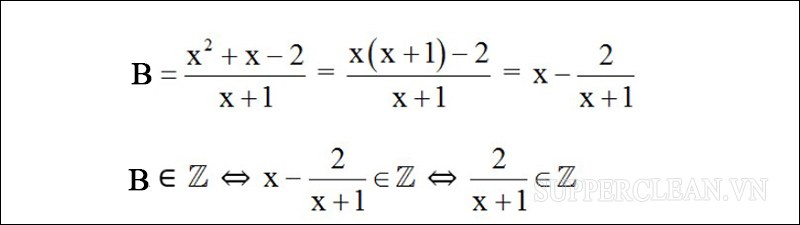
- Biểu thức B
Đkxđ: x # -1
Ta có:

Để B nhận giá trị dương thì (x + 1) ∈ U(2) = {-2; -1; 1; 2}
Ta có bảng sau:
| x + 1 | -2 | -1 | 1 | 2 |
| x | -3 (thỏa mãn) | -2 (thỏa mãn) | 0 (thỏa mãn) | 1 (thỏa mãn) |
Vậy với các giá trị x ∈ {-3; -2; 0; 1} thì biểu thức B nhận giá trị dương.
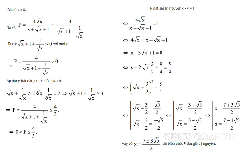
- Biểu thức P

XEM THÊM:
Trên đây là bài viết chia sẻ số giá trị nguyên là gì và hướng dẫn cách làm dạng bài tìm biến để biểu thức nhận giá trị nguyên. Hy vọng sẽ mang đến nhiều kiến thức hữu ích cho bạn đọc. Nếu bạn gặp bất kỳ khó khăn gì khi làm dạng bài tập này thì hãy để lại bình luận bên dưới, supperclean.vn sẽ giúp bạn giải đáp!

